Selected Research of Jens Starke: Modelling, Analysis and Optimization of Complex Systems

The focus of my scientific work is on problems concerning dynamics (differential equations, dynamical systems, stochastic systems) in modelling, analysis, numerics, simulation and optimization of complex scientific, medical and engineering systems (among others: surface chemistry and catalysis, growth analysis in orthodontics, distributed robotics, self-organization, neuroscience and olfactory system, rotating machinery, traffic networks). Besides mathematical theory, real-world applications of nonlinear mathematics are an important part of my work. My research contains in particular the interplay between discrete and continuous as well as deterministic and stochastic models and corresponding methods.




(A) Research Sorted after Mathematical Methods

(B) Research Sorted after Application Areas




(A) Research Sorted after Mathematical Methods

Multiscale Analysis

(1) Implicit equation-free methods: In the framework of equation-free approaches implicit methods were developed which avoid so-called lifting errors. The equation-free approaches allow to analyse quantities of interest which live on a macroscopic level even though no equations are known on that level but only microscopic model equations. By short simulation bursts of the microscopic model it is possible to obtain sufficient information for a detailed numerical analysis of the macroscopic dynamics including continuation techniques and bifurcation analysis. Error estimates can be given for the implicit methods. This is joint work with C. Marschler (DTU), J. Sieber (Exeter, UK), R. Berkemer (AKAD Stuttgart, Germany), A. Kawamoto (Toyota CRDL, Japan). For details see SIAM Journal on Applied Dynamical Systems (SIADS), 13(3), 1202-1238, 2014.
(2) Robust equation-free detection and continuation of a Hopf bifurcation point: A robust numerical approach was suggested to detect a Hopf-bifurcation point in an equation-free framework and perform a two-parameter continuation of the Hopf bifurcation point. This is joint work with O. Corradi and P. Hjorth (DTU). For details see SIAM Journal on Applied Dynamical Systems (SIADS), 11(3), 1007-1032, 2012.

Data Analysis and Analysis of Experiments

(1) Control of collective human behavior: Social dynamics beyond modeling: The motion of pedestrians is a paradigmatic phenomenon to study collective human behavior. We propose a model-free approach to analyze the movement of pedestrians in experiments and get a quantitative understanding of crowd dynamics. Using concepts from control and analysis of dynamical systems, we set up a scheme which allows us to identify dynamical unstable signatures in pedestrian flows. These signatures are the building blocks for crowd control and soft management of people and thus result in a fundamental understanding of collective human behavior. Our approach is entirely data driven, and we provide a proof of concept using field and laboratory experiments. In addition, this methodology provides, based on experimental observations, quantitative benchmarks to judge the quality of mathematical models for pedestrian motion. The bifurcation analysis of the pedestrian field experiment is joint work with I. Panagiotopoulos and W. Just. For details see Phys. Rev. Research 4, 043190, 2022. The analysis of the many particle model is joint work with I. Panagiotopoulos, W. Just and J. Sieber; for details see SIAM Journal on Applied Dynamical Systems (SIADS) To Appear, 2023.
(2) Continuation of unstable states in laboratory experiments: Methods for tracing solutions including unstable ones in controlled lab experiment were further developed and extended such that stability information can be extracted from the experiments. This allows to obtain valuable experimental information which is important for model development and verification. By this, it is possible to systematically explore how stable and unstable steady state periodic vibrations depend on parameters. This is joint work with F. Schilder, E. Bureau, I. Santos and J.J. Thomsen (DTU). For details see Journal of Sound and Vibration 332 (22), 5883-5897, 2013; Journal of Sound and Vibration 333(21), 5464-5474, 2014; Journal of Sound and Vibration 358, 251-266, 2015.
(3) Stability detection and continuation of bifurcation points in experiments: It is even possible to develop methods which allow to determine stability information of a laboratory experiment while tracking an unstable state with feedback control. This has been demonstrated in a laboratory experiment of the Zeeman catastrophe machine. For details, see SIAM Journal on Applied Dynamical Systems (SIADS) To Appear, 2023. Furthermore, a Method for the continuation of bifurcation points has been developed. This has been applied to the continuation of saddle-node bifurcation points which merge in a cusp bifurcation in the Zeeman catastrophe machine. For details, see SIAM Journal on Applied Dynamical Systems (SIADS) To Appear, 2023.
(4) Decomposition and low-dimensional description of spatio-temporal data: Methods to decompose high-dimensional data and a few leading modes were developed on basis of statistical methods like PCA and ICA such that temporal changes of mode coefficients could subsequently be modeled and analysed. This is joint work with J. Reidl, J. Rübel, C. Lux (University of Heidelberg), D. Omer, A. Grinvald (Weizmann Institute of Science) and H. Spors (Max Planck Institute for medical research, Heidelberg). For details see e.g. Annals of Operations Research 119, Special Issue on Optimization in Medicine, 75-100, 2003; Journal of Mathematical Biology 51 (2), 157-170, 2005; NeuroImage 34, 94 - 108, 2007.
(5) Visualization of Neimark-Sacker bifurcation in experimental data: Poincare sections visualize a Neimark-Sacker bifurcation in data from rotating machinery. This is joint work with F. Schilder (DTU), J. Rübel (University of Heidelberg), H. Osinga (University of Bristol), B. Krauskopf (University of Bristol) and M. Inagaki (Toyota CRDL, Japan). For details see Nonlinear Dynamics 51(4), 529-539, 2008.

Bifurcation Analysis

A number of analytical as well as numerical investigations to detect and continue bifurcation points were performed. This includes the analysis of the smoothing of a piecewise defined dynamical system, continuation of tori and an existence proof af a Hopf bifurcation in a network of bio-chemical reactions. This is in parts joint work with B. Krauskopf, H. Osinga (Auckland, New Zealand), M. Elmegaard, F. Schilder, J.J. Thomsen (DTU), O. Corradi and P. Hjorth (DTU), M. Eiswirth (Fritz Haber Institute Berlin, Germany), M. Inagaki (Toyota CRDL, Japan). For details see e.g. SIAM Journal on Applied Dynamical Systems (SIADS), 13(3), 1202-1238, 2014; Journal of Sound and Vibration 332(22), 5883 - 5897, 2013; SIAM Journal on Applied Dynamical Systems (SIADS), 11(3), 1007-1032, 2012; Nonlinear Dynamics 51(4), 529-539, 2008; Journal of Chemical Physics 115, No 10, 4829 - 4838, 2001.

Pattern Formation and Waves

(1) Traveling waves: The existence of traveling waves were shown both analytically and numerically in various situations and for different models in various applications. These include collaborations with P. Carter & B. Sandstede (Brown University, USA), Y. Gaididei (Kiev, Ukraine), R. Berkemer (DTU), P. L. Christiansen, M.P. Sørensen (DTU), J.J. Rasmussen (DTU), A. Kawamoto & T. Shiga (Toyota CRDL, Japan), M. Eiswirth, H. Rotermund, G. Ertl (Frith Haber Institut, Berlin). For details see Journal of Evolution Equations and Control Theory (EECT) 8(1), 73-100, 2019; SIAM Journal on Applied Mathematics 74(6), 1895-1918, 2014; NHM (Networks and Heterogeneous Media) 8(1), 261-273, 2013; New Journal of Physics 11, 073012, 2009; Europhysics Letters 73 (6), 820 - 825, 2006.
(2) Pattern formation principles to control cooperative robots: Pattern formation principles were used to construct a self-organized control for distributed robots and flexible manufacturing sytems. It can be proven that only feasible solutions of the underlying combinatorial optimziation problem emerge from the pattern formation principle. This is in parts joint work with C. Ellsaesser, University of Heidelberg, T. Fukuda (Nagoya University), H. Haken (University of Stuttgart), P. Molnar (Clark Atlanta University) and M. Schanz (University of Stuttgart). For details see e.g. Physics Letters A 375, 2094 - 2098, 2011; The International Journal of Robotics Research 24, 465 - 486, 2005; IEEE Transactions on Systems, Men and Cybernetics: Part B, 31, No. 3, 433 - 436, 2001.
(3) Pattern formation in many-particle systems: It is proven that a interacting many-particle system of different particle types with attracting interactions between particles of the same type and repulsive interactions between particles of different type converges under certain assumption to a sorted state. This is joint work with S. Kokkendorff (DTU), J. Strotmann (University of Hohenheim), N. Hummel (University of Heidelberg). For details see SIAM Journal on Applied Mathematics (SIAP) 70(7), 2534 - 2555, 2010.

Deterministic and Stochastic Modelling

Stochastic many-particle systems have been formulated and investigated. Construction of a mesoscopic stochastic lattice model for fast simulations of large particle numbers for systems with local mixing by diffusion. Fluctuation induced pattern formation was investigated. Limit equations of stochastic many particle systems were rigorously derived. This is joint work with M. Eiswirth, H. Rotermund, G. Ertl (Frith Haber Institut, Berlin), K. Oelschlaeger (University of Heidelberg) and C. Reichert (University of Heidelberg). For details see e.g. Europhysics Letters 73 (6), 820-825, 2006 or Journal of Chemical Physics 115, No 10, 4829-4838, 2001.

Discrete and Continuous Optimization

(1) Dynamical system approaches to combinatorial optimzation: A dynamical system was constructed to find feasible solutions of combinatorial optimization problems (in particular assignment problems). It was proven that the ω-limit set of the constructed dynamical system is identical to the set of feasible points of assignment problems. Details can be found in the chapter J. Starke: "Dynamical System Approaches to Combinatorial Optimization", Pages 1065-1124 in "Handbook of Combinatorial Optimization" (Eds. Pardalos, P., Du, D.-Z. and Graham, R.), 2nd Edition. Springer Verlag, Heidelberg, New York. 2013.
(2) Iterative procedure to estimate parameter in differential equations: Joint work with J. Rübel and C. Lux (University of Heidelberg).
For details see Annals of Operations Research 119, Special Issue on Optimization in Medicine, 75-100, 2003 and Journal of Mathematical Biology 51 (2), 157-170, 2005.
(3) Shape optimization with eigenvalue contraints: This is joint work with F. Strauß (University of Heidelberg) and M. Inagaki (Toyota CRDL, Japan). For details see Structural and Multidisciplinary Optimization 34, 139-149, 2007.





(B) Research Sorted after Application Areas


Analysis of emerging structures in pedestrian crowds

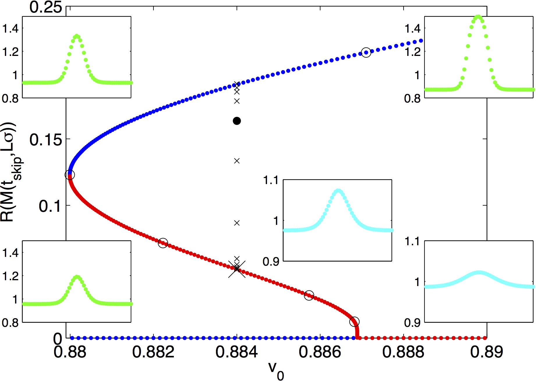
(1) Equation-free analysis of particle models: The macroscopic behaviour of a microscopically defined particle model for pedestrian crowds is investigated by equation-free techniques where no explicitly given equations are available for the macroscopic quantities of interest. We investigate situations with an intermediate number of particles where the number of particles is too large for microscopic investigations of all particles and too small for analytical investigations using many-particle limits and density approximations. By developing and combining very robust numerical algorithms it was possible to perform an equation-free numerical bifurcation analysis of macroscopic quantities describing the structure and pattern formation in the particle model. The pedestrian flow shows the emergence of an oscillatory pattern of two crowds passing a narrow door in opposite directions. The oscillatory solutions appear due to a Hopf bifurcation. This is detected numerically by continuation of a stationary state of the system. Furthermore, a two-parameter continuation of the Hopf point is done to investigate the oscillatory behaviour in detail using the door width and relative velocity of the pedestrians in the two crowds as parameters. This is joint work with O. Corradi and P. Hjorth (DTU). For details see SIAM Journal on Applied Dynamical Systems (SIADS), 11 (3), 1007-1032, 2012.
(2) Coarse analysis of a pedestrian model using diffusion maps: This is joint work with P. Liu, I. Kevrekidis (Princeton, USA) and C. Marschler (DTU). For details see Physical Review E 89(1), 013304-013314, 2014.
(3) Control-based continuation in pedestrian flow simulations: This is joint work with I. Panagiotopoulos, W. Just (University of Rostock, Germany) and J. Sieber (University of Exeter, UK). For details see SIAM Journal on Applied Dynamical Systems (SIADS) To Appear, 2023.


Stochastic Modelling and Deterministic Limit of Catalytic Surface Processes

Three levels of modeling, microscopic, mesoscopic and macroscopic are discussed for the CO oxidation on low-index platinum single crystal surfaces. The introduced models on the microscopic and mesoscopic level are stochastic while the model on the macroscopic level is deterministic. It can be derived rigorously for low-pressure conditions from the microscopic model, which is characterized as a moderately interacting many-particle system, in the limit as the particle number tends to infinity. Also the mesoscopic model is given by a many-particle system. However, the particles move on a lattice, such that in contrast to the microscopic model the spatial resolution is reduced. The derivation of deterministic limit equations is in correspondence with the successful description of experiments under low-pressure conditions by deterministic reaction-diffusion equations while for intermediate pressures phenomena of stochastic origin can be observed in experiments. The models include a new approach to the platinum phase transition, which allows for a unification of existing models for Pt(100) and Pt(110). The rich nonlinear dynamical behavior of the macroscopic reaction kinetics is investigated and shows good agreement with low-pressure experiments. Furthermore, for intermediate pressures, noise-induced pattern formation, which has not been captured by earlier models, can be reproduced in stochastic simulations with the mesoscopic model. This is joint work with M. Eiswirth, H. Rotermund, G. Ertl (Frith Haber Institut, Berlin), K. Oelschlaeger (University of Heidelberg) and C. Reichert (University of Heidelberg). For details see e.g. Europhysics Letters 73 (6), 820-825, 2006 or Journal of Chemical Physics 115, No 10, 4829-4838, 2001.


Processing of Sensory Information in the Olfactory System

The olfactory system serves as important model case for other brain regions. It has a good experimental accessibility for several animals and relatively clear defined input and output. The odor signals are processed from receptor neurons over the glomeruli level to a neural network of mitral and granular cells while various types of nonlinear behaviour can be observed.
(1) Model of intracellular Ca oscillations due to negative feedback: A mathematical model for Ca oscillations in the cilia of olfactory sensory neurons was suggested. The underlying mechanism is based on direct negative regulation of cyclic nucleotide-gated channels by calcium/calmodulin and does not require any autocatalysis such as calcium-induced calcium release. Predictions of the model are in quantitative agreement with experiment, both with respect to oscillations and to fast adaptation. Relevance of the model to calcium oscillations in other systems is discussed. This is joint work with J. Reidl (University of Heidelberg), P. Borowski (Max Planck Institute for Physics of Complex Systems), A. Sensse (Frith Haber Institut, Berlin), M. Zapotocky (Max Planck Institute for Physics of Complex Systems) and M. Eiswirth (Frith Haber Institut, Berlin). For details see Biophysical Journal 90, 1147-1155, 2006.
(2) Modeling of axonal pathfinding in the olfactory system - sorting and convergence: Models with attracting and repulsive interactions were proposed which are able to reproduce the experimental findings of sorting and convergence during axonal pathfinding in the olfactory system. Many axon species, each represented by a huge number of axons, are spatially disordered at the beginning of their growth at the receptor neurons and converge by a self-organized process to a sorted state, i.e. axons of the same receptor type converge to a common position. Under certain model assumptions, it can be proved that the interacting many-particle system of different particle types converges to a sorted state. This is joint work with S. Kokkendorff (DTU), J. Strotmann (University of Hohenheim), N. Hummel (University of Heidelberg). For details see SIAM Journal on Applied Mathematics (SIAP) 70(7), 2534-2555, 2010.
(3) Spatio-temporal dynamics in the olfactory bulb: Odors evoke a variety of stimulus specific spatio-temporal patterns on the levels of glomeruli and neural network of mitral and granular cells in the olfactory bulb which can be measured for mice in vivo using Ca and voltage sensitive dyes for optical imaging. A spatial independent component analysis (sICA) of this high-resolution imaging data was used to separate different neuronal populations based on their stimulus specific spatio-temporal activation. They can be identified as groups of glomeruli with different response latencies. Artifacts due to movement, heartbeat or respiration are automatically separated from the functional signal by sICA. Other applications were the somatosensory cortex of mice as well as the visual cortex of monkeys. Equation-free techniques allow for a systematic analysis of macroscopic network activities and their dependence on biological parameters such as kinetic parameters or network topology. This is joint work with C. Ellsaesser, T. Kuner and J. Reidl (University of Heidelberg), J. Midtgaard (University of Copenhagen), D. Omer, A. Grinvald (Weizmann Institute of Science) and H. Spors (Max Planck Institute for medical research, Heidelberg). For details see e.g. NeuroImage 34, 94-108, 2007.


Neural network formation due to learning

An equation-free bifurcation analysis allowed to anlayze the network formation due to learning for the audiory system of barn owls. The used model was a spike and response model with Hebbian learning. The results show a phase transition of a map formation in the network depending on the local changes in the synaptic efficacies. This is joint work with C. Marschler (DTU), J.L. van Hemmen (Technical University of Munich) and C. Ellsaesser (University of Heidelberg). For details see Europhysics Letters (EPL) 108, 4805, 6 Pages, 2014.


Traveling Waves in Traffic Models

(1) Analytical travelling wave solutions of jam pattern formaton on a ring for a class of optimal velocity traffic models: A follow-the-leader model of traffic flow on a closed loop is considered in the framework of the extended optimal velocity model where a driver takes into account both the following car as well as the preceding car. Periodic wave train solutions which describe the formation of traffic congestion patterns were found analytically and their velocity and wave amplitudes were determined. This contains the standard forward-looking optimal velocity model as a special case. The analytical results are in very good agreement with the results of direct numerical simulation. This is a collaboration with Y. Gaididei (Kiev, Ukraine), R. Berkemer (DTU), P. L. Christiansen (DTU), A. Kawamoto & T. Shiga (Toyota CRDL, Japan) and M.P. Sørensen (DTU). For details see New Journal of Physics 11, 073012, 2009.
(2) Traffic jam control: It is shown that a deterministic as well as a stochastic modulation of the safety distance can extend the stability region of the uniform flow and therefore reduce traffic jams. This is a collaboration with Y. Gaididei (Kiev, Ukraine), R. Berkemer (DTU), P. L. Christiansen (DTU), A. Kawamoto & T. Shiga (Toyota CRDL, Japan) and M.P. Sørensen (DTU). For details see NHM (Networks and Heterogeneous Media) 8(1), 261-273, 2013, and Physical Review E 88(4), 042803 - 042815, 2013.
(3) Multi-Puls traffic jam solutions: We extended traffic models with velocity-dependent driver strategies and showed the existence of multi-puls traffic jam solutions both analytically as well as numerically. This is joint work with P. Carter & B. Sandstede (Brown University, USA), P. L. Christiansen & M.P. Sørensen (DTU). For details see SIAM Journal on Applied Mathematics 74(6), 1895-1918, 2014
(4) Equation-free approaches are used to investigate the macroscopic behaviour of single lane traffic models: Even though the considered models are defined on a microscopic level, the quantities of interest live on a macroscopic level but quite often for this no explicit model equations are available. By short simulation bursts of the microscopic model it is possible to obtain sufficient information for a detailed numerical analysis of the macroscopic dynamics including continuation techniques and bifurcation analysis. The investigations focus on travelling waves of traffic jams such as the ratio of cars being involved in the traffic jam depending on model parameters like driver sensitivity or maximal velocity. This is joint work with C. Marschler (DTU), J. Sieber (Exeter, UK), R. Berkemer (AKAD Stuttgart, Germany), A. Kawamoto (Toyota CRDL, Japan). For details see SIAM Journal on Applied Dynamical Systems (SIADS), 13(3), 1202-1238, 2014.


Vibration Analysis in Mechanical Systems

(1) Continuation and bifurcation analysis of experiments: Applying continuation methods directly to a controlled lab experiment allows to obtain valuable experimental information which is important for model development and verification. By this, it is possible to systematically explore how stable and unstable steady state periodic vibrations depend on parameters. The approach is tested on a driven mechanical oscillator with a strong impact nonlinearity, controlled with electromagnetic actuators. The controller is tuned such that the steady state dynamics of the controlled experiment matches that of the corresponding un-controlled experiment. The figure shows an experimentally obtained bifurcation diagram (amplitude over driving frequency) including the unstable branch. This is joint work with F. Schilder, E. Bureau, I. Santos and J.J. Thomsen (DTU). For details see Proceedings of ENOC Conference, 24-29 July 2011, Rome, Italy; Journal of Sound and Vibration 332(22), 5883-5897, 2013 & Journal of Sound and Vibration 333(21), 5464-5474, 2014.
(2) Mathematical modelling of rotor bearing systems with application to a turbocharger: A minimalist model for a rotor bearing system with oil film lubrication in a floating bush bearing system was developed and analyzed. This is joint work with M. Inagaki, A. Kawamoto, T. Abekura, A. Suzuki (Toyota CRDL, Japan) and J. Rübel (Heidelberg, Germany). See Journal of System Design and Dynamics 5(3), 461-473, 2011.
(3) Shape optimization of rotating machinery: Reduction of vibration level in rotordynamics by design optimization We focus on the reduction of the vibration level of rotors by optimizing the shape of the body. The target is to reduce rotor weight and rotor vibrations leading to higher efficiency and less noise.We consider a finite element discretization of the rotor using a Rayleigh beam model which includes rotary inertia and gyroscopic moments leading to nonselfadjoint systems. We present a general algebraic framework for this case. The mass function is the objective function of the optimization problem and constraints are set on the nonlinear and nonconvex functions of critical speed and unbalance response. For the numerical solution, algorithms belonging to the class of sequential convex programming are applied for the example of a turbocharger. A remarkable reduction of mass of an initially given prototype could be achieved while significantly reducing the unbalance response and raising the critical speeds. This is joint work with F. Strauß (University of Heidelberg) and M. Inagaki (Toyota CRDL, Japan). For details see Structural and Multidisciplinary Optimization 34, 139-149, 2007.
(4) Analysis of rotating machinery: Efficient computation of quasiperiodic oscillations in nonlinear systems with fast rotating parts We present a numerical method for the investigation of quasiperiodic oscillations in applications modeled by systems of ordinary differential equations. An important element of our approach is that it allows us to verify whether one can neglect gravitational forces after a change of coordinates into a corotating frame. Specifically, we show that this leads to a dramatic reduction of computational effort. A turbocharger model is studied as a practical example. This is joint work with F. Schilder (DTU), J. Rübel (University of Heidelberg), H. Osinga (University of Bristol), B. Krauskopf (University of Bristol) and M. Inagaki (Toyota CRDL, Japan). For details see Nonlinear Dynamics 51(4), 529-539, 2008 and DETC2009-87339, Proc. of the ASME 2009 International Design Engineering Technical Conferences & Computers and Information in Engineering Conference, IDETC/CIE 2009.


Robust Control of Flexible Manufacturing Systems

Time-dependent robot-target assignment problems with several autonomous robots and several targets are considered as model of flexible manufacturing systems. Each manufacturing target has to be served in a given time interval by one and only one robot and the total working costs have to be minimized (or total winnings maximized). A specifically constructed dynamical system approach (coupled selection equations) is used which guarantees feasiblitiy of the assignment solutions. This type of control is based on pattern formation principles known in physics, chemistry and biology and results in fault resistant and robust behaviour. The performance of the suggested control is demonstrated and visualized with a computer simulation of autonomous space robots building a space station by distributed transporting several parts from a space shuttle to defined positions at the space station. This is in parts joint work with C. Ellsaesser, University of Heidelberg, T. Fukuda (Nagoya University), H. Haken (University of Stuttgart), P. Molnar (Clark Atlanta University) and M. Schanz (University of Stuttgart). For details see e.g. Physics Letters A 375, 2094-2098, 2011; The International Journal of Robotics Research 24, 465 - 486, 2005; IEEE Transactions on Systems, Men and Cybernetics: Part B, 31, No. 3, 433-436, 2001.


Analysis and visualization of orthodontic growth and shape changes

(1) Modelling of the growth dynamics: Decomposing orthodontic growth data in spatial growth modes by an adapted Karhunen-Loeve decomposition allows for a substantial dimension reduction and a subsequential modelling. The complex nonlinearly coupled growth regions can therefore be described by a low-dimensional dynamics with time-independent modes. The obtained dynamical system description can be used to predict future shape changes.
(2) Analysis of treatment effects: To obtain a simplified medical interpretation of the growth analysis one can overdraw certain growth modes in a kind of caricature. This is shown in the figure for a orthodontic treatment with the so-called activator.
This is joint work with J. Rübel and C. Lux (University of Heidelberg).
For details see The Cleft Palate-Craniofacial Journal 39(3), 341-352, 2002, Annals of Operations Research 119, Special Issue on Optimization in Medicine, 75-100, 2003 and Journal of Mathematical Biology 51 (2), 157-170, 2005.


Jens Starke - last modified December 27, 2022